新闻资讯
TF-Lattice:革新流体仿真,以简驭繁,以速致胜(上)
十沣TF-Lattice流体仿真软件,正是为解决这些行业共性痛点而生。它以极简的前处理流程、极快的计算速度与高可靠的仿真精度,为企业加速产品创新、提升研发效能提供全新路径。

破解传统CFD瓶颈:从复杂到高效的转变
在使用传统CFD软件的过程中,工程师们常常需要面对以下难题:
首先是前处理复杂、耗时高。传统基于有限体积法(FVM)的软件依赖复杂的体网格生成,对几何模型完整性要求极高。面对存在缝隙、重叠、零厚度薄板等“脏几何”,工程师在进行网格剖分之前,需要花费大量时间进行几何模型清理,流程冗长、易出错,严重影响研发进度。
其次是计算效率受限。大规模网格数量与复杂算法导致单次仿真耗时漫长,即便使用并行集群计算,硬件投入依然高昂,无法为设计决策提供可靠的依据。
最后是精度与稳定性不足。在高雷诺数湍流、气动噪声等复杂物理问题中,传统算法的数值稳定性有限,仿真结果与实验差距较大,难以为设计决策提供有力依据。
针对这些问题,TF-Lattice以格子玻尔兹曼方法(LBM,Lattice Boltzmann Method)为核心,从算法、架构到工程流程实现全方位革新。LBM是一种通过模拟大量微观流体粒子(分子团)碰撞与迁移过程,求解流体宏观行为的计算方法。与基于连续介质假设的传统CFD不同,LBM通过计算微观行为的统计平均,自然就涌现出了宏观的流体动力学。通过数学工具可以严格地证明,LBM的演化方程在低马赫数、不可压缩近似下,等价于宏观的流体力学N-S方程。

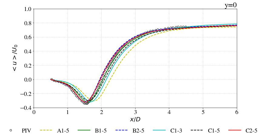
在Re=3900圆柱绕流算例中,LBM计算结果与PIV(粒子图像测速)实验结果高度吻合
基于其基本数学特性,LBM方法天然具有高并行性,非常适合在GPU和超级计算机上进行大规模并行计算。而且物理模型简单,在处理极其复杂的几何外形(例如真实的汽车、飞行器外形,多孔介质,跨尺度问题等)的时候拥有显著的优势。
软件技术突破:更快、更准、更轻的仿真体验 极简前处理,让建模更方便。TF-Lattice采用多层自适应直角网格技术,无需手动划分网格,仅需数秒即可自动生成局部加密的高质量网格。与传统体网格生成相比,前处理时间从数小时压缩至分钟级,大幅降低操作难度和时间,提升建模效率。 软件对几何模型的容错能力同样出色。无论是非封闭几何体、薄壁结构还是STL格式的“脏几何”,TF-Lattice均可直接导入并完成高质量剖分与计算,避免了复杂的几何清理工作,帮助工程师从繁琐操作中解放出来,更好地专注于设计和技术创新。
TF-Lattice“秒级”生成整车外气动网格
高性能计算,让仿真更迅捷。TF-Lattice在底层架构中对GPU计算进行了深度优化,创新性地实现并改进了Shift-Swap-Streaming算法,在单张GPU卡上即可达到传统CPU集群级的计算效能。工程师无需依赖昂贵的集群或超算资源,在普通工作站上即可获得超算级别的模拟速度。
同时,软件已完成对国产DCU、鲲鹏、飞腾等硬件平台的适配,保证在多样化环境下都能稳定运行,为企业实现国产化替代提供坚实支撑。
面向批量设计优化需求,TF-Lattice还支持批处理与自动化计算,可在短时间内完成上百组工况模拟任务,为参数化研究与方案筛选提供高效算力支撑。
通过这一系列的技术创新和算法改进,TF-Lattice不仅显著缩短了计算时间,也有效降低了企业的算力成本和技术门槛。

TF-Lattice各版本计算性能显著提升
高精度仿真,让结果更可信。在仿真精度层面,TF-Lattice融合了先进的湍流模型体系,并针对汽车外气动场景进行了参数调优,获得了更加精确的湍流模型参数。在标准DrivAer汽车模型算例中,TF-Lattice通过优化将阻力系数的最大计算误差从4.4%降低为1.5%,各项关键参数与实验结果高度吻合,充分验证了软件的高精度与数值稳定性。

DrivAer标模车型示意图(3种车型,共6种配置)

TF-Lattice针对汽车外气动场景优化湍流模型参数,大幅提升仿真精度
此外,TF-Lattice不仅能模拟外流场,还具备多物理场耦合能力,支持气动噪声预测与多孔介质流动分析,如电池电解液的浸润过程。凭借这些能力,软件可为复杂工况下的流体行为提供全面的物理刻画。
从算法革新到算力优化,从几何处理到多物理场耦合,TF-Lattice以“更快、更准、更易用”为核心理念,重塑流体仿真的使用体验。它让工程师摆脱繁琐操作的束缚,让企业以更低的成本、更高的效率实现创新突破。凭借卓越的算法性能与使用体验,TF-Lattice已在汽车、石油、电池等多个工业领域展现出显著优势,更多应用将在下篇中详尽介绍。